


R- und L-Last
Blindleistung, Cos Phi oder Verschiebefaktur werden oft im Zusammenhang mit Induktivitäten genannt. Jedoch was haben diese Begriffe mit einem zu dimmenden Halogenleuchtmittel zu tun, welche eine rein Ohmsche Last darstellt zu tun? Doch dazu zunächst was ist überhaupt eine R-Last:
R - Last
Das R steht für Resistor zu deutsch Widerstand. Da diese physikalischen Zusammenhänge von Herrn Ohm entdeckt wurden ist die Einheit Ohm. Wenn man also von einen Ohmschen Widerstand spricht, dann meint man z.B. eine Glühlampe und in unserem Fall ein Halogenleuchtmittel. Dieser besteht aus einem Wolframdraht, der mit dem Strom durchflossen wird. Da der Draht gegenüber den anderen Stromleitern ein sehr kleinen Querschnitt aufweist, sorgt bei entsprechender Spannung der proportionale Stromfluss der sich durch diesen dünnen Leiter zwängen muss für viel Erwärmung und letztendlich für eine Temperaturstrahlung bis in das sichtbare Lichtspektrum hinein. Wolfram gehört zu den Metallen, was bedeutet, das der spezifische Widerstand des Materials bei Temperatur zunimmt. Bei einer Betriebstemperatur von ca. 3200 K ist das gegenüber der Raumtemperatur kein unerheblicher Faktor. Wolfram ist deshalb das angesagte Metall für Glühwendel, da sein Schmelzpunkt bei 3383 °C liegt, im Gegensatz zu den anderen Metallen (z.B. Eisen 1539 °C) .
Setzen wir nun die Werte für Wolfram ein, so erhalten wir z.B. für ein 1 KW Leuchtmittel einen Kaltwiderstand von 3,43 Ohm. Bei einer Betriebstemperatur von 3200 K werden
daraus 47,3 Ohm. Nimmt man die nominalen Betriebsparameter, das heißt ein mit 3200 K abstrahlendes Leuchtmittel, so werden bei 47,3 Ohm und einer Versorgungsspannung von 230 Volt nach obiger Formel ein Strom von 4,8 Ampere fließen. Werden aber die 230 Volt - und im ungünstigsten Fall des Einschaltens würde sogar die Scheitelspannung mit 325 Volt anliegen - dem abgekühlten Leuchtmittel mit Raumtemperatur angelegt, so würde im Zeitpunkt t=0 ein theoretischer Strom von 67 Ampere abverlangt werden und wir reden hier nur von einem 1,2 KW Leuchtmittel. Das dabei trotz Dämpfung, Gegenmaßnahmen und relativer kurzer Einwirkzeit dennoch Halbleiter stark belastet werden ist leicht einzusehen. Insbesondere wenn man bedenkt, das dieser Stress beim Einschalten dem Leuchtmittel oft selber den Todesstoß versetzt, wobei es vorkommen kann dass eine Wendel abfällt und mit großen Lichtbogen noch einen, wenn auch kurzen, Kurzschluss verursacht. Der dabei entstehende Stromsprung (di/dt) kann dann trotz Ansprechen eines Schutzorgans wie eine C-Charaktreistische Automatensichererung, ein Siliziumkristall mit seinen Dotierungen als Leistungshalbleiter überlasten, da er nur eine kleine Wärmekapazität aufweist und die durch Überströme auftretenden zusätzliche Verlustwärme nicht schnell genug abführen kann, aber auch die Überschreitung der maximale Stromanstiegsgeschwindigkeit Si krit. kann zur Deformierung der Kristallstruktur (Zerstörung) führen.
Dennoch ist das Halogenleuchtmittel bzw. der Widerstand R eine sehr umgängliche Lastart wie man aus den folgenden Bildern ersehen kann:

a) Der Strom folgt proportional der Spannung. Die Leistung ist dadurch immer im positiv und wird demnach auch Wirkleistung P mit der Einheit W bezeichnet.
b) Dies wird mit dem Zeigerdiagramm verdeutlicht. Strom und Spannung befinden sich auf der realen Ebene. Das die nicht der Fall sein muss, werden wir an anderen Lasttypen noch veranschaulichen.
c) Der Ohmsche Widerstand ist unabhängig von der anliegenden Frequenz.
Die Proportionalität bleibt auch bei Ein und Ausschaltvorgängen erhalten.
Testschaltung für Ohmschen Widerstand
L-Last
Beginnen wir mit der theoretischen reinen L-Last hervorgerufen durch die Induktion welche bereits im Kapitel Dimmer summen und Brummen erklärt wurde. Hier nur soweit zur Wiederholung sinngemäß, dass erst ein Strom fließen kann, wenn das magnetische Feld aufgebaut ist, da jede Feldänderung eine Gegeninduktion bewirkt, die gegen die anliegende Spannung agiert, weshalb dann kaum noch Spannung übrig bleibt die einen Stromfluss bewirken kann. Kurz: der induktive Blindwiderstand entsteht durch Selbstinduktion. Dabei eilt der Strom 90° der Sinusspannung nach. Der induktive Blindwiderstand XL einer Spule ist um so größer, je größer die Induktivität L der Spule und je höher die Frequenz ist.

a) Der Strom multipliziert mit der Spannung ergibt die Leistung. Die Leistung wird bei Induktiven Widerstand einmal Positiv und einmal Negativ und pendelt nur hin und her. Die Leistung kann also nichts bewirken.
b) Das Zeigerdiagramm verdeutlicht dass der Strom der Spannung um 90° verzögert folgt
c) Der Induktive Widerstand ist abhängig von der anliegenden Frequenz. Je Höher die Frequenz, also je schneller das di/dt, um so stärker sind die Feldänderungen und demnach die Gegeniduktion. Der Widerstand wird also größer je schneller das Feld sich wechselt.
Die L-Last ist ein ideales Konstrukt, denn eine Spule die ein magnetisches Feld zu wirksammen Induktivitäten aufsummiert, besteht aus einem Leiter der wiederum auch Ohmsche Widerstandsanteile aufweist. Folglich Intressieren wir uns nun mehr für das reale Bauteil, welches eine Mischung aus Ohmschen Widerstand und Blindwiderstand darstellt. Man nennt Ihn deshalb Blindwiderstand, da dieser sich in der Imaginären Ebene befindet und Ihn damit keiner sehen kann, worauf man sagen muss - man ist Blind. Wenn man aber das Messgerät herausholt und einen Betrag misst, dann misst man die geometrische Addition der Wirkung des Realen zusammen mit dem Imaginären. Deshalb nennt man das Ergebnis aus Blind- und Wirk-Widerstand auch Schein- Widerstand. Das Wortspiel Wirk, Schein und Blind wiederholt sich so auch für Ströme, Spannungen oder Leistungen. Aber betrachten wir uns nun die Reihenschaltung von R und L, also das reale Bauteil Spule.

a) Der Strom multipliziert mit der Spannung ergibt die Leistung. Die negative Blindleistung im Kasten B hebt sich mit der Blindleistung im Kasten A auf. Die Wirkleistung ist das Mittel der verbleibenden Scheinleistung.
b) Das Zeigerdiagramm verdeutlicht dass eine Spannung am realen Widerstand und eine Spannung am Imaginären Blindwiderstand abfällt. Hier erscheint zum ersten Mal der Winkel Phi.
c) Wie bereits gesagt ist der Widerstand also größer je schneller das Feld sich wechselt. Bei der Realen Spule kommt noch der Reale Widerstand hinzu der einfach als Konstante hinzuaddiert wird.
Simulationsschaltung einer RL Last. Auffällig hier die Öffnung des Schaltkreises mittels Umschalter, dessen Schaltkontakt zur Schonung der Bauteile besser mit Knotenpunkt 4 verbunden worden wäre.
Die Skalierung der Spannung ist sehr grob gewählt worden, da durch das Öffnen des Stromkreises die magnetische Energie nur in Form einer Spannungspitze im KV Bereich entladen konnte. Zu Beginn erkennt man das Einschwingverhalten entsprechend einer E-Funktion.
Am realen Simulationsmodell werden weitere zwei Eigenschaften von Induktivitäten deutlich. Erstens reagieren Induktivitäten wie Transformatoren oder Spulen empfindlich wenn Sie für Wechselstromkreise ausgelegt sind aber zusätzlich mit Gleichstrom Ihr Eisen vorzeitig in die Sättigung getrieben wird. Zweitens sollte man schaltungstechnisch Maßnahmen vornehmen um die Energie beim öffnen eines Stromkreises mit Induktivitäten kontroliert abzubauen.
Cos Phi
Eine Spule ist das Zusammenwirken von einem Ohmschen Wirk-Widerstand und einem induktiven Blind-Widerstand.
Ersatzschaltbild von Widerstand und Induktivität

Zeigerdiagramm der Spannungen an den idealen Bauelementen

von Wirk-Widerstand und Blind-Widerschand zum Schein-Widerstand

Zeigerdiagramm von Wirk-Leistung und Blind-Leistung zur Schein-Leistung
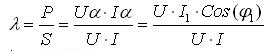
P = Ueff * Ieff
S = U * I
Mit
P = Wirkleistung in W
U = Spannung in V
I = Stom in A
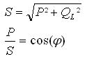
S = Scheinleistung in VA
QL = Blindleistung in var (volt ampere reaktiv)
Die Wirkleistung bedeutet einen Ernergiefluss vom Erzeuger zum Verbraucher.
Die Scheinleistung beinhaltet auch die negative Leistungsanteile die periodisch wieder an den Erzeuger zurückgesandt werden. Die Differenz der Positiven Energie und der negativen Energie wird in der Spule in Wirkarbeit (Wärme) umgesetzt.
Bei reinen Induktivitäten (oder Kapazitäten) tritt nur Blindleistung auf. Das Heißt die gesammte Energie pendelt zwischen Verbraucher und Erzeuger hin und herr.
Der Winkel zwischen P und S ist gleich dem Phasenverschiebungswinkel Phi. Das Verhältnis von Wirkleistung zu Scheinleistung nennt man Leistungsfaktor oder Wirkfaktor. Der Leistungsfaktor ist ein Mass dafür, welcher Teil der Scheinleistung in Wirkleistung umgesetzt wird. Ist die Scheinleistung genausogross wie die Wirkleistung, ist a) keine Blindleistung vorhanden und b) das Verhältnis beider Größen gleich 1. Somit ist der Cos Phi von 1 das Optimale. Ist Blindleistung mit im Spiel, und der Cos Phi verschiebt sich z.B. zu 0,5, dann bedeutet dies, dass das Leitungsnetz und Umformer wie auch Generatoren für den doppelten Strom ausgelegt sein müssen bei gleicher Wirkleistung, was erhebliche Kosten verursacht. Dies kann mit Kompensation entgegengewirkt werden. Der Wirkfaktor muss aufgrund der TAB (Technischen Anschlussbedingung der Energieversorger) meist zwischen cas Phi = 0,8 induktiv und cos Phi = 0,9 Kapazitiv liegen. Höhere Werte sind nur mit unverhältnismäßig großen Kompensationsaufwand zu erreichen. Während in manchen Ländern der Verbraucher für Blindleistung ebenfalls zur Kasse gebeten wird, muss man sich hierzulande nur in bestimmten Grenzen bewegen und gegebenenfalls Kompensationsanlagen einsetzen.
Steuerblindleistung
Nach so viel Grundlagen ist jetzt endlich die Vorraussetzung geschaffen mit dem eben gelernten zu verwirren, indem man sagt, das ein Ohmmscher Widerstand ebenfalls eine Blindleistung erzeugt wenn er über ein Dimmer betrieben wird. Und real ist es auch so, dass bei einem Phasenanschnittsdimmer mit einem Halogenleuchtmittel auf einmal die Rede von einem Cos Phi ist. Das kommt daher, dass bei einem Phasenanschnitt trotz rein Ohmscher durch den Anschnitt ein nicht sinusförmigen Strom verursacht, der durch die dominante Oberwelle nach hinten verschoben wird, also nacheilt. Bildlich kann man sich das so vorstellen, das mit dem Beginn der ansteigenden Sinusspannung der Strom erst zum Zeitpunkt einsetzt, wenn der Thyristor gezündet wurde. Dieser Zeitunterschied von Beginn der Spannung bis zum Einsetzen des Stromes könnte man auch als nacheilenden Strom ansehen... eben landläufig erklärt, was spätestens beim Phasenabschnittsdimmer nicht mehr so deutlich erkennbar ist. Deshalb spricht man aber von der Steuerblindleistung die mittels Fourieranlayse aufzeigt das die erste Grundschwingung des Stromes zur Netzspannungs eine Phasenverschiebung aufweist. Der zugehörige Leistungsfaktor Cos Phi wird auch in der Leistungselektronik als Verschiebungsfaktor bezeichnet. So wird für die Projektierung von Anlagen der totale Leistungsfaktor eingeführt.

Cosinus Phi in Abhängigkeit von der Aussteuerung

Der Laststrom in Abhängigkeit von der Aussteuerung
Aber Achtung. Im Gegensatz zu den üblichen Wechselstromgrundlagen, dieser Blindanteil ist abhängig von der Ansteuerung. Steht der Dimmer auf 100%, so ist die Blindleistung 0. Je kleiner der gedimmte Wert ist, um so höher wird der Cos. Phi.
Es ist logisch das der Strom bei niedrig gedimmten Scheinwerfer klein ist. Betrachtet man aber nun den Strom mit im Zusammenhang mit dem Cos Phi, So wird deutlich, das der Strom bei schlechten Cos Phi ebenfalls klein ist, und je höher der Strom wird, um so stärker nähert sich der Cos Phi dem Idealwert 1 an. Im Einphasensystem ist also aufgrund eines schlechten Cos Phi eine Überlastung der Stromleiter zur Last kein Problem zu erkennen, auch wenn man dies von Seiten der Sinusdimmer-befürwortern als Argument vorgebracht wird.
Alternative zur Spule
Somit ist jetzt bekannt, das der Phasenanschnitt einen Blindstrom verursach. Aber auch das beim Phasenanschnitt eine große Induktivität zur Glättung des Stromes angewendet wird. Wenn man aber nun statt einen Thyristor der nur Schaltzustände erlaubt ein IGBT Leistungshalbleiter einsetzt, der stufenlos die Amplitude durchsteuern kann, ist es möglich ebenfalls den Stromanstieg zu kontrolieren und den Einsatz von schweren und verlustreichen Filtern einzusparen. So ist ein Dimmer entwickelt worden, bei dem die Phase nicht mit einem Thyristor zugeschaltet, sondern mit dem IGBT eine Spannungsverlaufsrampe gesteuert wird.
Das hat den Vorteil, das ein sanfter Stromanstieg realiesiert werden kann, der vollkommen unabhängig von der angeschlossenen Last ist und sich nach Bedarf auch auf andere Rampenzeiten wie z.B. 450 µsek einfach umschalten ließe. Auch läßt sich mit einem Dimmer mit IGBT Bauteil oft auch eine Umschaltung von Phasenanschnitt zu Phasenabschnitt innerhalb eines Dimmers realiesieren, womit man dann fast jeder Lastart Rechnung tragen kann, wie wir in einem späteren Kapitel noch erläutern werden.
Nebenbei benötigt dieses Bauelement auch nicht den hohen Haltestrom eines Thyristor, so das die Mindestlast für einwandfreies Dimmen z.B. nur 1 Watt beträgt. Damit ist diese Dimmerart Ideal geeignet unterschiedlichste Leistungsklasse, insbesondere bei sporadischen Einsatz von Kleinstlasten, ohne Verlust von Entstöreigenschaften oder der sonst notwendigen Zuschalten von Mindestlasten, zu betreiben.

Verlustleistung verschiedener Dimmertypen .im Vergleich und in Abhängigkeit vom Steuerwert

Linke Seite die nachlassende Stromverschleifung bei Thyristordimmer mit Induktivtät und kleiner werdender Last. Rechts konstante lastunabhängige Stromverschleifung durch IGBT Rampe (4)
Der eingesparrte Leistungs-verlust durch die fehlenden Drossel ist wird im Wärmemengenhaushalt des Dimmer mit einem höheren Verlust am Halbleiterbauelement erkauft. Betrachtet man die Verlustleistungen verschiedener Dimmertypen wie ein IGBT als Phasen An oder Abschnitt mit Phasenanschnittsdimmern mit hochwertigen Drosseln, so wird deutlich, das beide Techniken relativ gleiche Verluste aufweisen. Nicht überraschend hingegen ist der gute Wirkungsgrad von Dimmern, die eine standardentstörung aufweisen. Bei Einsätzen wo dies ausreicht, sparrt man nicht nur bei den Anschaffungskosten.
Quellennachweis:
1) Physik für Ingenieure / Springer Verlag
2) Tabellenbuch Elektrotechnik / Friedrich
3) Elektronik iV A / Pflaum Verlag
4) Entertainment Technology / Genlyte Thomas Company, L.L.C.
5) IES BV / ETC
6) MA Lighting Technology
7) Strand Lighting
8) Lightpower
9) Betriebsgeräte und Schaltungen für elektrische Lampen /C.H. Strurm /E. Klein
10) VDE 0100 und die Praxis / Gerhard Kiefer
11) Norbert Ackermann
12) ADB
Zur Erinnerung:
Die Farbtemperatur wird in Kelvin (K) angegeben und entspricht bei einem idealen schwarzen Körper der Wahren Temperatur in Grad Celsius (°C). Da die Temperatur historisch bedingt nicht bei Null beginnt, sondern bei -273,15 ist diese Differenz zwischen Kelvin und Grad Celsius einzurechnen. Weiterhin handelt es sich bei Wolfram nicht um einen Idealen schwarzen Strahler, sondern um einen realen "grauen" Stoff, so das die Farbtemperatur höher als seine wahren körperlichen Temperatur ist. Bei 3000 K macht dies ca. 60-80 °C aus.
Weiterhin hat Wolfram eine Leitfähigkeit 18,2 (m / mm²)
und einen Temperaturbeiwert
von 0,0044 (1/K).
Die Wendellänge für 230 V entspricht ca. 1 m und
der Querschnitt der Wendel hier z.B. 0,016 mm²
bestimmt letztendlich die Leistung.

Wobei die Amplitude der Grundschwingung I1 und damit der Effektivwert i1 nur schwierig zu ermitteln ist.
Der IPS Dimmer arbeitet als
Phasenanschnittdimmer mit
einem IGBT Leistungshalbleiter.


Zum Thema