Andere Themen zum Dimmer unter:

Summen

R- und L-Last

Sinusdimmer

Phasenanschnitt

Halbleiter

Arten zu Dimmen
Ist auf der linken Seite keine Navigationsleiste zu erkennen, können Sie mit
Startseite die Ausgangsseite und damit weitere Themen dieser Page erreichen.


Dimmertechnik Ausstattungsmerkmale


Dimmer unterscheiden sich nicht nur von ihrer grundlegenden Funktionsweise, sondern auch von ihren Ausstattungsmerkmalen. Oft sind es gerade die Zusatzfunktionen, die einen bestimmten Dimmer gegenüber anderen auszeichnen und aus diesem Grunde zur Auswahl gelangen.

Beginnen wir als Erstes mit einer Funktion, die genau dem Dimmen entgegengesetzt ist - dem Schalten. Moderne Lichtstellpulte weisen dafür in ihrer Abteilung Dimmerkurven auch eine Non-Dim-Funktion auf. Aber eine Non-Dim-Funktion des Stellwerkes kann deutlich anders wirken als eine Non-Dim-Funktion am Dimmer, was oftmals bei komplizierten Lasten auch prompt mit Schäden quittiert werden kann.


S
onderlasten - Schaltdimmer (Non Dim)
Möchte man das Dimmersystem auch nutzen, um Moving Lights ferngesteuert ein- und auszuschalten oder Spiegelkugelmotoren zu betreiben, so wird die Forderung nach einer Non-Dim- (Schalt-) Funktion laut. Aber eine Non-Dim-Funktion kann auf verschiedene Art und Weise realisiert werden. Die übliche, die auch bei einem Lichtstellpult zur Verfügung gestellt wird, besagt, dass der Dimmer ab einem bestimmten Ansteuerwert 100 % ausgeben soll. Darunter soll er 0 % ausgeben. Dies bedeutet aber, dass der Dimmer nach wie vor wie ein Dimmer arbeitet und evtl. aufgrund eingestellter Responsezeiten noch für ca. 300 ms phasenangeschnitte Spannung liefert. Oder der Dimmer liefert aufgrund seiner "Angstabstände" bei beginnenden und endenden Phasenwinkel noch kleinste Spannungsflanken.
Echte Non-Dim-Systeme erlauben dagegen eine vollständige Durchschaltung der Thyristoren beim Nulldurchgang der Spannung ohne jegliche Anlaufsequenzen wie bei der später noch erklärten Responsetime. Komfortable Dimmersysteme erlauben sogar eine Auswahl, ob bei einem Strom-Nulldurchgang, Spannungs-Nulldurchgang, oder speziell für den Betrieb von Schaltnetzteilen beim Scheitelpunkt der Spannung geschaltet wird. Ein Sinusdimmer ohne Nulldurchgangserkennung schaltet einfach bei Signal die Spannung durch und verhält sich so wie ein Lichtschalter, der auch zu einem x-beliebigen Phasenverlauf zugeschaltet wird, jedoch mit dem Unterschied, dass beim Halbleiterschalter kein Prellen auftaucht.
Diverse Hersteller bieten aber auch für ihre mit Dimmermodulen ausgestatteten Dimmersysteme Schütz- bzw. Relaismodule an. Im Unterschied zum Relais, das die Spannung bzw. den Strom elektromechanisch abtrennt und bei zweipoliger Ausführung somit die Ausgänge auch vollkommen galvanisch abgetrennt sind, bleiben bei den elektronischen Schaltern einer Non-Dim-Funktion aber weiterhin Dämpfungsglieder wie Drosselspulen im Stromkreis vorhanden, was wiederum zu mehr Verlustleistung und zu zerstörerischen Resonanzen bei C-Last führen kann.


Response Time
Um dem steilen Strom, der durch kalte Leuchtmittel verursacht wird, nicht nur mit sehr großen Spulen begegnen zu müssen, weisen einige Dimmer feste oder einstellbare Responsezeiten auf. Dies bedeutet, dass bei einer Ansteuerungsänderung von 0 auf z. B. 100 % der Steuerwinkel nicht gleich 0° aufweist, sondern sich von 180° ab von Periode zu Periode um einige Grad verringert, damit sich das Leuchtmittel "sanft" erwärmen kann. Dies ist aber nicht mit einem konstanten Preheat zu verwechseln, der kontinuierlich einen kleinen Anschnitt bzw. Strom bedeutet, damit das Leuchtmittel zwar heiß ist, aber noch nicht sichtbar glüht. Diese Responsezeit kann auch genutzt werden, um Leuchtstofflampen mit ihren DMX Bitsprüngen, die als Pumpen wahrgenommen wird, zu verschleifen. Dabei haben sich Responsezeiten von ca. 300 ms bewährt. 600 ms werden bereits als Verzögerung deutlich wahrgenommen. Werden alte Dimmeranlagen ersetzt, hilft die Responsezeit auch das Dimmverhalten der alten analogen Schaltungstechnik nachzuempfinden. So kann die neue Dimmeranlage alte Shows aus dem Repertoire nahezu gleich im Auf- und Abblendverhalten nachbilden, wenn für jeden Kreis die Responsezeit separat eingestellt werden kann.


Langsame Steigerung mittels Response Time

Preheat Level
Mit dem Preheat wird das Leuchtmittel vorgewärmt, zum einen, um ein schnelles Ansprechverhalten zu erwirken wie bei PAR in Verbindung mit Chasern häufig praktiziert wird, oder um Leuchtmittel im Einschaltmoment nicht mit dem Kaltwiderstand Überströme verursachen zu lassen. Es gibt Systeme bei denen ein Preheat als Offset hinzugeschaltet wird oder Systeme, bei der die gesamte Kurve verschoben wird. Das letztere System hat den Vorteil, dass die Proportionalität des Faderweges bzw. der Überblendung erhalten bleibt. Beim Offset dagegen kann man im unteren Bereich ohne Veränderung regeln. Erst wenn der Grundwert überschritten wird, verhält sich die Dimmung genauso linear wie Kreise ohne Preheat. Es sind auch Dimmer auf dem Markt, die den Preheat als "Einschaltschutz" mitverwenden. So wird beim Einschalten des Dimmers bewirkt, dass bei anliegendem DMX-Signal für ca. eine Sekunde ein Preheat Level angelegt wird, bevor der DMX-Level angefahren wird, um so dem hohen Einschaltstrom von kalten Leuchtmitteln zu begegnen. Dabei ist zu beachten, dass bei manchen Systemen ein eingestellter Preheat von 0 auch keinen Schutzeffekt zur Folge hat.


Ständige ca. 5 % Ansteuerung für warme Wendel.
Die grüne Gerade zeigt den idealen linearen Verlauf (Standard).

Dimmerkurve
Wenn man ein kontinuierlich ansteigendes Steuersignal einem analogen Phasenanschnittsdimmer zuführt, wandert der Zündzeitpunkt auch linear entlang der Zeitachse unter der Sinuskurve. Da aber zu Beginn, gegenüber zur Mitte der Kurve, die Spannungsunterschiede pro Zeitschritt unterschiedlich hoch sind, folgt, dass die Helligkeitsveränderung von Natur aus nicht linear ist. So unterscheiden einige Dimmerhersteller zwischen normaler und linearer Dimmerkurve. Bei der Normal-Kurve sind die DMX-Werte proportional zum Zeitverlauf der Zündspannung. Bei der Linearkurve wird hier mehr die Änderung der Leuchtintensität bewertet. Verwirrend ist hierbei, dass die Bezeichnung linear, normal und Standard von Hersteller zu Hersteller unterschiedlich zugeordnet sein kann. Wir bezeichnen hier normal, wenn es im oberen Prozentbereich weniger Änderungen in der Helligkeit ergibt, da die Fläche der phasenangeschnittenen Stromverlaufskurve nur noch gering zunimmt. Deshalb werden in der Stellung linear die Zündsignalzeitveränderungen größer ausgelegt sein als im unteren Bereich, um die Flächenveränderung der Stromverlaufskurve im oberen Prozentwertbereich zu vergrößern.
Aufgrund von Zuordnungstabellen, die mit Hilfe von auf Mikrocontroller basierenden Systemen leicht realisiert werden können, bereitet es keine Probleme mehrere Dimmerkurven zu realisieren. Bei analogen Systemen müssen proportionale, integrale oder differentiale Regelschaltungen eingesetzt werden, um eine Dimmerkurve realisieren zu können. Eine nachträgliche Änderung wäre nur durch Austausch der Elektronik möglich. Mit der variablen Speicher-programmierbaren Digitaltechnik lassen sich sogar einfach benutzerdefinierbare Dimmerkurven erstellen. Daneben werden oft auch folgende Standardkurven angeboten.
Die Quadratische Kurve wird meist von Rundfunkanstalten genutzt, da der untere Helligkeitsbereich wegen des Rotanteils der Kontinuumstrahler kaum benutzt wird, aber der Regelbereich des Kanalstellers möglichst weit im oberen Bereich ausgenutzt werden soll.
Die Umgekehrte Quadratische Kurve wird dagegen bei Anwendung von Leuchtstofflampen angewendet, da der untere Helligkeitsbereich besonders auffällig im unteren Leistungssektor reagiert und der Regelbereich des Kanalstellers möglichst weit ausgenutzt werden soll.
Beim Sinusdimmer (Pulsbreiten-Modulation) wird die Kurvenform "Normal" bereits eine lineare Kurve sein, da die Spannung proportional zum Steuerwert verändert wird.

Fader %-Werte
Lichtleistung in %
Farbtemperatur
100
100
3.200
90
81
3.120
80
64
3.040
70
49
2.960
60
36
2.860
50
25
2.750
40
16
2.600
30
9
2.400
20
4
2.200
10
1
-
0
0
-
Einfluss der Quadratischen Dimmerkurve auf die Farbtemperatur von Halogenleuchtmitteln


Verschiedene Dimmerkurven gemessen


Typische grafische Anzeige benutzerdefinierbarer Dimmerkurve (8)

Spannungsbereich
So wie man verschiedene Dimmerkurven realisiert, kann man auch dem Wertebereich der Ansteuerung einen oberen und unteren Grenzwert zuordnen. Das heißt, die maximale Ausgangsspannung wird limitiert aber auch die Mindestspannung kann oft eingestellt werden. Somit können im Notfall z. B. auch 110-V-Leuchtmittel über einen 220-V-Dimmer gesteuert werden, ohne dass die Leistungsgrenze überschritten wird. Inwieweit die Wendelanordnung genügend Abstand untereinander aufweist, um bei der höheren Scheitelspannung noch keinen Überschlag zuzulassen, hängt vom Leuchtmittel ab, funktioniert aber in der Praxis in fast allen Fällen. Damit die Spannungsbereichsgrenzen-Funktion sich auch deutlich von der Dimmerkurvenfunktion abhebt, kann der Regelbereich der Ansteuerung über den gesamten Faderweg extrapoliert sein, wie es im Diagramm mit der gepunkteten Linie dargestellt wird.


Limitierte Ausgangsspannung.

Kabelkompensation
Oftmals findet man als Funktion auch den Begriff Spannungskompensation. Hierbei wird im Falle von Zuleitungen mit unterschiedlicher Länge und dem damit verbundenen unterschiedlichen Spannungsfall, versucht denselben auszugleichen, damit bei einem angelegten Prozentwert auf eine Gruppe von Scheinwerfern alle gleich hell und mit der gleichen Farbtemperatur arbeiten, obwohl durch extreme Kabellängenunterschiede die Spannung am Leuchtmittel unterschiedlich hoch sein müsste. Dabei kann man davon ausgehen, dass sich pro Volt Spannungsfall die Farbtemperatur beim 240-Volt-Netz um 5 Kelvin ändert und um 10 Kelvin beim 120-V-Netz. (Die Farbtemperatur ist abhängig vom Stromfluss, der im 240-V-Netz nur halb so hoch ist wie im 120-V-Netz bei gleicher Wattage des Leuchtmittels.)
Realisiert wird die Kabelkompensation, indem die Ausgangsspannung der Kreise mit kurzen Leitungswegen nicht einfach limitiert wird, sondern linear über den gesamten Steuerbereich einen proportionalen Faktor zugewiesen bekommt. Im Prinzip stellt dies eine nachgelagerte Dimmerkurve dar. Der Nachteil einer konsequenten Anwendung ist, dass die Kreise nach der längsten Zuleitung, also der schwächsten leuchtenden Einheit ausgerichtet werden muss, da aus der zur Verfügung stehenden Versorgungsspannung nicht ein paar Volt zur Kompensation mit aufaddiert werden kann. Man muss sich im Klaren sein, dass hierbei bewusst auf die nominale Lichtleistung des Leuchtmittels verzichtet wird, insbesondere auch im Hinblick darauf, dass bereits an den Leistungshalbleitern und der Drosselspule bereits einige Volt abfallen.


Das schwächste Glied bestimmt den Gleichklang

Patch
Unter Patchen versteht man das Verändern der Zuordnung von Steuerkreisen zu Dimmerkreisen. Sollen z. B. vom Steuerkanal 18-23 nicht mehr die Dimmer 18-23 angesprochen werden, sondern die Dimmer 256 bis 261, weil der Kompaktdimmer ausgefallen ist, dann führt man einen Patch durch. Gepatcht wird aber auch regelmäßig, um in einem Raum Gruppen von Kreisnummern übersichtlich anzuordnen. Dazu kann man die Patchfunktion eines Lichtstellpultes bemühen, aber auch immer mehr Dimmer verfügen über die Möglichkeit des Patchens. Nun liegt es in der Ausführung des Dimmers, wie komfortabel man Patchen kann. Bei einem umfassenden Patch kann man jedem Steuerkreis keinen, einen oder mehrere Dimmer zuordnen. Einschränkungen von Patchfunktionen findet man in der Art, dass nur Blöcke von Kreisen z. B. eins bis sechs einer anderen Dimmeradresse zugeordnet werden können, oder dass pro Steuerkreis nur bis zu drei Dimmer zugeordnet werden können. Da die hier beschriebene Patch-Art nur auf Zuordnungstabellen einer programmierbaren Elektronik basiert, spricht man von Softpatch. Als die Analogtechnik noch weit verbreitet war, hatte man die Zuordnung der Steuerkreise über eine Kreuzschiene realisiert, wie sie auch in der Tontechnik üblich war. Man hatte oft eine 1:1 Matrix aufgebaut, bei der mit Einstecken eines Codiersteckers der Bezug hergestellt wurde. Mittels Codierstecker erhielt der entsprechende Ausgang der Kreuzschiene das Steuersignal des Eingangs der Kreuzschiene.
Dimmerkreise
S
t
e
u
e
r
k
r
e
i
s
e
1
2
3
4
5
6
7
8
9
10
1
2
3
4
5
6
7
8
9
10
Kreutzschine mit 1:1 Zuodnung der Kanäle 1 bis 6 und 10.
Kreis 7 steuert Dimmer 8 und 9, Kreis 8 steuert Dimmer 7
Wird ein Patch bei Ausfall eines Dimmerkreises ausgeführt, so spricht man mit der Kreuzschiene oder dem Softpatch die neuen Ersatzdimmerkreise an. Aber der neue Dimmerausgang muss jetzt noch auf die ursprünglichen Zuleitungen des Scheinwerfers, dessen Dimmer ausgefallen ist, gesteckt werden. Dazu bedient man sich des so genannten Hotpatch. Beim Hotpatch wird die Leitung mittels Steckverbinder der entsprechenden Versatznummer zugeordnet. Bei kleinen Festinstallationsanlagen, deren Räume sehr flexibel bespielt werden können, kann man ein Hotpatch finden, welches mit Schukosteckern deren Zuleitung an einer Versatzsteckdose im Raum endet, direkt auf die Schukodosen eines Dimmern zugeordnet werden. Bei fliegenden Dimmeranlagen benutzt man aber gerne spezielle, insbesondere raumsparende Steckverbindersysteme, deren Felder oftmals direkt am Dimmerrack angebracht sind. Hier unterscheidet man prinzipell ein Zweileitersystem und ein Dreileitersystem. Beim Dreileitersystem wird der Schutzleiter neben den Neutralleiter und der Phase für jeden einzelnen Versatz bei der Zuordnungsbrücke mitgeführt, während beim Zweileitersystem der Schutzleiter als Sammelpunkt mit allen zu- und abgehenden Steckverbindern verbunden ist und somit im Verteilerfeld nur noch Nullleiter und Phase die Zuordnungsbrücke bilden. Die Befürworter des Dreileitersystems bevorzugen die Möglichkeit, Scheinwerfer direkt mit einem Adapter aus dem Feld heraus mit Strom zu versorgen, oder z. B. Festspannung in das Versatzfeld für z. B. Stromversorgung von Nebelmaschinen auf der Bühne mittels Adapter einzuspeisen. Die Befürworter des Zweileitersystems führen dagegen ins Feld, dass einmal das Feld mit nur zwei Adern wesentlich kompakter ist, zu jedem Zeitpunkt der Schutzleiter am Multicore aufgelegt ist, auch wenn kein Kreis auf die Multicoreleitung gepatcht wurde, die Gefahr von Brummen verursacht durch Spannungsfalldifferenzen der unterschiedlichen Schutzleiterlängen geringer ist und zuletzt wird aus der Praxis argumentiert, dass die vielen Patchkabel selten kontrolliert werden ob der Schutzleiter noch genügend Kontakt herstellt.


Patchfeld ordnet Dimmerkreise verschiedenen Multicoresteckverbindern zu (8)


Mobiles Dimmerrack mit gestecktem Patchfeld (8)

Fehlerrückmeldung
Wenn bei einem Dimmer die Sicherung fällt, oder jemand über das Stromkabel vom Leuchtmittel gestolpert ist, dann ist es ein wesentlicher Vorteil, wenn der Stellwerker den Fehler so weit eingrenzen kann, um seinen Beleuchter auf die Bühne oder in den Dimmerraum zu schicken. Gerade in großen Häusern sind Dimmerräume oft erst nach etlichen Treppen und Fluren zu erreichen. Idealerweise sollte das Lichtstellpult oder eine separate Anzeige dem Lichtstellwerker eine Klartext-Fehlermeldung melden und bei kritischen Fehlern auch deutlich darauf aufmerksam machen. So ist es für einen Dimmer nicht zu erkennen, ob bei Beleuchtungsproben ein Scheinwerfer abgesteckt wurde oder durch Rütteln die Wendel gebrochen ist. Aufwändige Systeme können aber bei einer disziplinierten Crew erkennen, ob es sich um ein versehendliches Ausstecken oder einem Fehler handelt, wenn man übereinkommt, dass nur bei 0 % Ansteuerung Last ab- oder zuzustecken ist. Wenn dann bei 1 % Grundansteuerung die Last "verschwindet", kann immer von einem Fehler ausgegangen werden. Es gibt auch Dimmer, die den Fall ihrer Sicherung oder den Ausfall des Lüfters erkennen und somit wenigstens dazu eindeutige Fehlerdefinition zulassen. So ist es auch interessant zu erkennen, ob ein Gleichstromanteil die Spulen übermäßig stark aufheizt wie es beim Ausfall nur eines Thyristors auftreten kann. Wird eine anliegende Spannung vor und nach der Sicherung mit einem Sensor erfasst, so kann ein Sicherungsfall vom Abstecken der Last unterschieden werden. Auch eine Prozessorüberwachung mittels Watchdog hat sich bewährt. Interessant bei solchen Fehlererhebungen ist, wie das System reagiert, wenn nicht alle Dimmermodule (z .B. Schrankweise) hinzu geschaltet wurden. Werden diese dann als fehlerhaft erkannt, wenn sie nicht eingesteckt sind? Werden diese Fehler kontinuierlich als Liste angezeigt und wiederholen sich die gleichen Fehler, so dass eine Fehlerliste zwar ellenlang wird jedoch keine neuen Information enthält? In diesem Fall ist das Fehlerlisting unübersichtlich und damit wertlos. Weiterhin bleibt die Frage, wo sind diese Fehler in Klartext verfügbar? Nur an der Konsole des gleichen Herstellers oder auch an einem x-beliebigen PC? Sind mehrere "Fehlermonitore", z. B. in der Lichtregie und im Meisterbüro, gleichzeitig zu betreiben? Wie übersichtlich ist das Monitoring selbst? Muss ein Fehler quittiert werden, wird er ständig wiederholt? Können mehrere Fehler gleichzeitig dargestellt werden? Kann man die Parameter, die einen Fehler auslösen, selber variieren? Mit welcher Verzögerung wird ein Fehler gemeldet? Sind alle Dimmertypen, wie auch einen Relais-Non-Dim-Moduleinschub in das Fehlersystem integriert? Wenn ein Fehler behoben wurde, reagiert das System und meldet eine erfolgreiche Wiederherstellung? Anhand der letzten Auflistung von Fragen wird deutlich, dass auf jeden Fall das Thema der Fehlermeldung detailliert für die jeweilige Anwendung zu erörtern ist.

Externe Ansteuerung
Aktuelle Dimmer können mindestens mit DMX 512 angesteuert werden. Darüber hinaus sind oftmals weitere Schnittstellen vorhanden. Um einfachen Systemen Anschluss zu bieten, sind bei Dimmerpacks oft auch Analoganschlüsse zu finden. Aber auch MIDI-Anschlüsse findet man an einem Dimmer. Diese werden oft von kleinen Bands mitbenutzt, um sich ein Lichtstellpult zu sparen, da ihre Musikanlage bereits über MIDI-fähige Sequenzer verfügt oder das Licht nebenbei über das Masterkeyboard mitgesteuert wird. Um Funktionserweiterung und Rückmeldungen via DMX-Netzwerk zu erlauben, preisen viele Hersteller ihren Dimmer als RDM-Ready an. Aber auch der Ethernetanschluss hat bereits seit einiger Zeit im Dimmer Einzug gehalten. Werden keine firmeneigenen Protokolle beim Ethernet eingesetzt, wie z. B. die Protokolle von Strand, MA oder ADB bzw. das relativ weit verbreitete ART-Net von Artistic Licence, um nur einige wenige zu nennen, dann wird oftmals auch das Firmen übergreifende Protokoll ACN unterstützt. Nachdem also ein Dimmer über mehrere Eingänge verfügt, liegt es nahe, dass komplexe Dimmer nicht nur die Eingänge in der Umschaltung erlauben, sondern dass mehrere Eingänge gleichzeitig ausgelesen werden können. So kann z. B. über die Ethernetverbindung mit Rückmeldung der Standardbetrieb erfolgen, während im Havariefall die Ansteuerung über eine vollkommen getrennte DMX-Ansteuerung erfolgt. Auch direkte Kontakte, die z. B. Putzlichtstimmungen aufrufen oder Paniklicht auslösen, können vorhanden sein. Dabei können sehr unterschiedliche Konfigurationen einstellbar sein, ob z. B. bei zwei Eingängen jeweils der höchste Wert Vorrang hat (HTP) oder eben der letzte empfangene Wert (LTP). Auch kann man die Eingänge konfigurieren ob bei Ausfall von Eingang A auf B umgeschaltet wird oder auf C oder eine vorprogrammierte Stimmung aufgerufen werden soll. Kritisch ist aber bei bestimmten Konfigurationseinstellungen das Zeitverhalten der Protokolle. Wird ein zweites Pult als Havarie betrieben und dessen DMX-Werte mit einem Merger zum Dimmer übermittelt, kann die Zeitverzögerung des Havariepultes, das erst die Daten des Masters verarbeiten muss, unschöne Effekte auf das gemeinsame Signal zur Folge haben. Natürlich ist auch bei gleichzeitiger DMX- und Ethernetanbindung und der LTP-Funktion mit "Sprüngen" zu rechnen. Um diese Funktionen bereitzustellen, ist soviel Rechenleistung notwendig, dass man auch ohne größere Anstrengung einen DMX 512 Out zur Verfügung stellen kann, um bei Ansteuerung mittels Ethernet noch ein DMX Universum vor Ort bereitzustellen, um z. B. noch die Farbwechsler oder weitere Moving Lights mit anzusteuern.

Interne Steuerung
Trotz der ganzen Vorteile des DMX-512-Steuerprotokolls ist bei bestimmten Lasten auch beim Dimmer die Auflösung von 8 Bit zu grob. Bei Überblendungen im 3-min-Bereich kann man bei 500 W oder kleineren Lampen bei ca 17 % deutlich die Bitsprünge sehen, was bei Leuchtstofflampen und den heute eingesetzten LED-Strahlern noch wesentlich deutlicher auffällt. Eine Lösung ist eine Datensprung abhängige Interpolation durchzuführen. Dabei vergleicht man, ob der Wert sich langsam verändert oder ob es sich um eine plötzliche Veränderung wie ein Black Out handelt. Bei langsamen Veränderungen werden Zwischenwerte berechnet, die weit über die 8-Bit-Auflösung hinausgehen und innerhalb der vorausberechneten durchschnittlichen Zeitabschnitte zusätzlich ausgegeben werden. Damit ist der Steuerbereich feiner aufgegliedert, obwohl nur ein 8 Bit Wertevorrat vom DMX-Steuersignal geliefert wird. Gute Digitaldimmer weisen eine Auflösung von mehr als 10 Bit, also 2.048 Schritte auf. Ein anderer Lösungsansatz ist den Dimmer in verschiedenen DMX-Modi umzuschalten, wie es auch bei Moving Lights oft möglich ist. Dann werden für einen Dimmerkreis zwei bis drei DMX-Adressen mit je 8 Bit übermittelt, wobei damit eine 16-Bit-Auflösung übertragen wird oder eine 8-Bit-Auflösung gefolgt von einer 16 Bit großen Überblendzeit, so dass die Überblendung vom Dimmer selbst berechnet wird und das Pult an Rechenleistung entlastet ist.
Während portable Dimmerpacks ihre Ansteuerungselektronik meist im 3 bis 12 Kreise umfassenden Gehäuse beherbergen, ist bei einem Festinstallations-Dimmerschrank ein separater Prozessor für die Ansteuerung der einzelnen Dimmermodule zuständig. Auch hier gibt es unterschiedliche Ausführungen. Einmal kann der Zentralrechner alle Berechnungen ausführen und dem Dimmermodul nur noch die Freigabe des Zündimpulses für die Leistungshalbleiter mittels diskreter Verdrahtung übermitteln, bis hin zu einem System, bei dem jedes einzelne Dimmermodul einen eignen Prozessor beinhaltet und mit dem zentralen Prozessor über einen bidirektionalen CAN-Bus kommuniziert. Je nach Aufbau der zentralen Rechnerstruktur als Embedded System - Mikrocontroller, die speziell in das System integriert werden und dementsprechend für diesen Zweck auch grundlegende Hardewaresteuerungen mit eigner Software bestückt werden müssen, oder auf PC-kompatiblen Motherboards basierenden Systemen, deren Betriebssystem bereits viele Funktionen bereitstellen, variiert auch die Hochlaufzeit der Systeme von wenigen Sekunden bis hin zu Minuten (bei Bühnentechnischen Anlagen mit ihren sicherheitsrelevanten Selbsttests kann man durchaus 20 Minuten bis zur ersten Bewegung warten), was beim schnellen Einschalten für gerade mal Licht auf der Bühne oder bei einem kurzen Versorgungsspannungseinbruch doch erheblich für Nervenanspannung sorgt.

Havariekonzepte
Oftmals findet man die Möglichkeit einen zweiten Zentralrechner als Havarie einzusetzen, der idealerweise beim Ausfall des Zentralrechners automatisch dessen Funktionen übernimmt. Kritisch dabei ist u. a. das Erkennen, wann der Zentralrechner ausfällt. Wenn sich ein Zentralrechner in einer Endlosprogrammschleife verfangen hat, fallen keine Steuersignale aus, die ein Prozessorproblem offensichtlich machen. Wird über Ethernet gearbeitet, kann der Rechner auch das Netz soweit lahm legen, dass der Havarierechner ebenfalls keine aktuellen Daten erhält. Fällt bei einer dreiphasig gespeisten Lichtanlage nur eine einzelne Phase aus, dann muss bei einphasiger Ausführung des Zentralrechners auch damit gerechnet werden, dass genau die Phase des Zentralrechners ausfällt und damit die gesamte Anlage steht. Bei einem Zentralrechner, der aus allen drei Phasen gespeist wird und für jede Phase separat den Nulldurchgang berechnet, vollzieht immerhin noch 2/3 der Anlage weiter ihren Dienst. Man kann natürlich die zentrale Steuerelektronik mit einer unterbrechungsfreien Stromversorgung (USV) versorgen, wenn jedoch die Zentralrechnereinheit auch den Zündzeitpunkt bestimmen soll, ist ein Weiterbetrieb der Dimmermodule nicht möglich. Ein weiterer Nachteil dieser Funktionsweise ist, dass oft nach 20 Minuten der Akku der USV aufgebraucht ist und damit die gesamte Bühne dunkel werden kann. Besser sind Systeme deren Steuerungselektronik Spannung aus allen drei Phasen beziehen kann und zur Steigerung der Zuverlässigkeit mit redundanter Spannungsregelung arbeiten. So kann bei nur einer verbleibenden Phase noch eine Havarielichtstimmung überblendet werden.
Sollte der Zentralrechner, das Lichtstellpult oder die meist nicht redundant aufgebauten Ethernet-Netzwerke ausfallen, so wäre ein potenzialfreier Schalteingang von Vorteil, der am Zentralrechner vorbei direkt auf das Dimmermodul wirkt und das so ein festes Notlicht "aufdimmen" kann. Der gleiche oder ein weiterer Kontakt könnte ein Putzlicht über einen einfachen Schalter zur Verfügung stellen. So müsste ein Techniker nicht erst die Lichtregie in Betrieb nehmen und das Lichtstellpult bedienen bzw. teure Sonderpulte aktivieren, wenn die Putzkolonne im Bürgerhaus die Bühne reinigen soll. Dies funktioniert aber nur, wenn die Dimmermodule soweit mit Steuerelektronik ausgerüstet sind, um den Nullpunkt selbstständig zu bestimmen und zumindest eine Notlicht- oder Putzlichtstimmung abrufbar ist, ohne dass der Zentralrechner bemüht werden muss.
In der Regel werden für bestimmte Versätze (Geregelte, gedimmer Steckdosenkreise nennt man im Theater Versätze) RegelkreiseParameter wie Leistungsbegrenzung, Vorheizung, Haveriestellwert oder eine Dimmerkurve festgelegt. Wie werden diese Informationen im System für einen Havariefall bereitgestellt? Wenn man diese Daten einem intelligenten Dimmermodul übergibt, besteht die Gefahr, dass bei Austausch des Dimmermodules diese Daten zum Austausch nicht zur Verfügung stehen. Werden die Daten nur in einem zentralen Steuerrechner gespeichert, so ist bei Austausch des Steuerrechners ein massives Problem vorhanden. Deshalb werden oft redundante Steuerrechner eingesetzt, wobei aber die Schwierigkeit besteht, dass der zweite Rechner immer die gleichen Informationen vorhält wie der primäre Steuerrechner. Hierbei spielt auch die Zeit eine Rolle, die man benötigt, um ein ausgetauschtes System neu zu konfigurieren. Eine weitere interessante Lösung ist, wenn ein intelligentes Dimmermodul seine Daten mit der Steuerelektronik austauscht. So ist es möglich, ein x-beliebiges Havariemodul einzusetzen, das sich die Parameter vom Steuerrechner herunterlädt oder der Havarie-Steuerrechner lädt sich beim Austausch des Steuerrechners die Daten der vorhandenen Module hoch. So ist das System immer aktuell.

Kühlung
In einem Dimmer befinden sich zwei Bauelemente die besonders heiß werden. Zum einen ist das der Leistungshalbleiter und zum anderen die Spule zur Entstörung. Bei den Leistungen reicht oftmals eine Konvektionskühlung nicht aus, so dass mit Lüftern zwangsgekühlt werden muss. Ein Lüfter ist wegen der Luftbewegung mit Geräuschen verbunden. So ist es vorteilhaft, wenn Temperatursensoren die Temperatur überwachen und der Lüfter erst bei Anforderung nur in der notwendigen Drehzahl hinzugeschaltet wird. Denn die Umgebungstemperaturen können je nach Einsatzgebiet erheblich schwanken und ein andauernder Betrieb unter Volllast sollte ja auch zu 100 % möglich sein, ohne dass der Dimmer abschaltet oder gar Schäden davonträgt. Ein Lüfter ist leider ein Bauelement, das zum vorzeitigen Ausfall neigt. So sind Dimmersysteme im Vorteil, die anhand mehrerer Temperatursensoren und einem Plausibilitätscheck erkennen können, ob es sich um einen Lüfterausfall handelt, damit man vor Ausfall oder Abschalten des Dimmers geeignete Maßnahmen ergreifen kann. Wenn dennoch eine Übertemperatur auftritt, kann je nach System der gesamte Dimmerschrank, einzelne Module oder nur der betroffene Dimmer abgeschaltet oder limitiert werden. Auch ist die thermische Belastung von "Kaminsystemen", wo mit einer zentralen Lüftereinheit die Luft über mehrere Kühlkörper hintereinander geleitet wird, bei den ersten und letzten Modulen in der Reihenfolge des Lüfterkamins sehr unterschiedlich. Wenn man weiß, dass bestimmte Bauelemente, insbesondere Elkos, im Laufe der Zeit unter thermischer Belastung ihre Kapazität verlieren da das Dielektrikum verdunstet, ist hier eine Verschiebung der mittleren Ausfallzeit der Dimmermodule zu den thermisch stärker belasteten Modulen zu erwarten.

Stromversorgung
Mit Generator wird oft eine mobile Stromversorgung bezeichnet und besteht in der Regel aus einem Dieselaggregat, das einen Generator (umgekehrt arbeitender Elektromotor) antreibt, um Wechselspannung zu erzeugen. Dabei finden in der Regel Drehstromgeneratoren in Sternschaltung Anwendung. Dies hat gegenüber in Dreieck geschalteten Generatoren den Vorteil, dass ein Nullleiter und damit auch zwei Spannungen (400 V und 230 V) zur Verfügung stehen. Verbraucherseitig können dennoch Stern oder Dreieck abgenommen werden.
Wie aus dem Bild leicht zu erkennen ist, sind es einfach geometrische Anordnungen der Maschine, die für eine Erzeugung von drei Spannungen verantwortlich sind, die um 120° versetzt den Nullpunkt durchqueren. Wenn eine Maschine mit ihren Wicklungen entsprechend denen des Generators angeschlossen ist, so dreht sich die Maschine in derselben Richtung. Vertauscht man zwei x beliebige Phasen, so verändert sich die Reihenfolge mit der die Maschine seine Polpaare versorgt. Die Maschine wird also in die andere Richtung drehen. Und da hier soviel von drehen die Rede ist, spricht man bei dem dreiphasigen Strom, dessen Phasen um 120° versetzt sind auch von "Drehstrom".

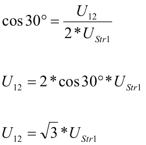
Betrachtet man die Spannungen in Zeigerform, deren Amplitude (Spannung) der Länge des Zeigers und deren Winkel zueinander der Phasenlage entsprechen, erhalten wir ein Zeigerdiagramm. Die Zeichnung des Bildes verdeutlicht die Zusammenhänge:

Die Wurzel aus 3 erhält beim "Drehstrom" damit eine erhebliche Bedeutung und wird auch als Verkettungsfaktor benannt. Die Spannung zwischen Leiter und Leiter ist demnach um den Faktor 1,732 größer als zwischen Leiter und einem Null- (Neutral-) Leiter.
Man erkennt bei der Sternschaltung, dass die Ströme durch den Strang (der Last an einem Anschluss) gleich groß sind wie die Ströme der zuführenden Leitung. Addiert man die Ströme, so sind diese bei gleicher Belastung aller drei Phasen (symmetrischer Belastung) in der Summe Null. So zumindest wenn eine vollständige Sinuswelle mit Last beaufschlagt ist. Bei einem Dimmer, der nur ein Drittel der Zeit die Last zuschaltet, wird ein Phänomen sichtbar, dass auch bei einigen elektronischen Vorschaltgeräten von Moving Lights schon beobachtet wurde. Die einzelnen Ströme der drei Phasen, die nur ein Drittel der Halbwelle fließen lassen, summieren sich im Neutralleiter zu einer 150-Hz-Schwingung. Dementsprechend ist die Dimensionierung des Neutralleiters auszuführen.


Trotz symmetrischer Belastung ist die Summe der Ströme auf dem Nullleiter nicht Null, sondern höher als die einer Phasenleitung dank "einfachem" elektronischen Vorschaltgerät.

Bei einer Dreieckschaltung dagegen sind die Leiterspannungen untereinander gleich der Spannung der Einzellasten, den Strangspannungen. Dagegen teilen sich hier die Ströme. Der Strangstrom ist hier um den Faktor Wurzel 3 kleiner als der Leiterstrom.
Spannend wird die Betrachtung der Zeigerdiagramme, wenn man nun mit keiner symmetrischen Belastung, sondern mit einer im Dimmerbetrieb vorwiegend asymmetrischen Belastung arbeitet. Da Dimmer in Sternschaltung angeschlossen werden, da das Leuchtmittel in der Regel für 230 Volt ausgelegt ist, betrachten wir diesen Fall bei asymmetrischer Belastung. Anhand des Zeigerdiagramms kann man erkennen, dass bei unsymmetrischer Belastung im Neutralleiter ein Ausgleichstrom fließt. Kritisch wird dies aber erst, wenn der Nullleiter unterbrochen wird. Denn dann kann kein Ausgleichsstrom fließen, sondern muss über die anderen Zuleitungen fließen. Es verschiebt sich der Sternpunkt. Folglich können auch die Strangspannungen unterschiedliche Werte annehmen. So kann es vorkommen, dass in solch einem Störungsfall bei Ansteuerung von nur wenigen Prozent eine PAR 64 voll leuchtet. Ein Hochziehen auf 100 % wird mit Sicherheit das Leuchtmittel zerstören und evtl. auch den Dimmer in Mitleidenschaft ziehen. Aus diesem Grund sind die oft verwendeten Camlock-Steckverbinder, die oft von auswärtigen Tournee-Betrieben nach Deutschland mitgebracht werden, mit äußerster Vorsicht zu genießen. Bei diesem Steckverbindersystem werden die Stromleitungen als Einzelader mit eigenem Steckverbinder ausgeführt. Man muss beim Ein- und Abstecken tunlichst die Reihenfolge einhalten und keinesfalls den Neutralleiter zuerst ziehen. Es sind zwar Anschlusspanels erhältlich, die ein An- und Abstecken durch Verriegelung nur in der richtigen Reihenfolge zulassen, aber diese sind eher selten anzufinden.

Generatorbetrieb
Eine weitere Besonderheit beim Betrieb von Dimmern ergibt sich bei der Versorgung über Generatoren im Gegensatz zu unserer recht starren Versorgung aus dem Festnetz. Der mobile Generator weist einen relativ hohen Innenwiderstand auf und bei einfachen Generatoren sind diese obendrein nicht frequenzstabil. Die Problematik, die sich daraus bei Phasenanschnittsdimmer ergibt, ist einmal, dass sich durch Lastwechsel, was ja beim Dimmen und dem Aufrufen von Stimmungen die Regel ist, auch die Ausgangsspannung des Generators variiert. So sind 10 Volt Spannungsänderung zwischen Leerlauf und Einfahren einer Lichtstimmung durchaus die Regel. Wird z. B. ein 30-kW-Generator in einer Stimmung nur noch mit 1 kW belastet, so steigt sein Innenwiderstand enorm. Deshalb sollte man auf extrem gleichmäßige Phasenbelastung achten. Darüber hinaus sollte die Symmetrie auch beim Abrufen der Lichtstimmungen, also von Szenenbild zu Szenenbild weiterhin eingehalten werden. Allgemein sollte man den Generator bei Anwendung mit Phasenanschnittdimmern mit einem groben Faktor von 0,6 überdimensionieren. Folgende Faustregel hat sich in der Praxis bewährt: Benötigte Anschlussleistung geteilt durch Cos Phi von 0,8 geteilt durch einen Sicherheitsfaktor von 0,6 ergibt die anzusetzende Generatorleistung.
Durch den hohen Innenwiderstand wirken sich auch Störspitzen z. B. durch Netzrückwirkungen stärker auf das Netz aus. So verursacht z. B. der Phasenabschnittsdimmer, der ja bekanntlich den Stromfluss innerhalb von 2 µs unterbricht, Spannungsimpulse von mehr als 20 kV. Abgesehen von dem Bauteilestress wird damit eine zuverlässige Nullpunkterkennung zum Lotteriespiel, was vom Generatorlicht auch gerne als Flackern wiedergegeben wird. So kann bei Generatorbetrieb kein Phasenabschnittdimmer eingesetzt werden. Phasenanschnittsdimmer benötigen eine sehr gute Filterung und einen Algorithmus, der über mehrere Perioden einen wahrscheinlichen Nulldurchgang festlegt. Auch sind spezielle Drosseln besser für den Generatorbetrieb geeignet als Standarddrosseln, die zwar dieselbe Verschleifzeit aufweisen, der Übergang aber recht hart verläuft im Gegensatz zu aufwändigen Drosseln, deren Kurvenform sich harmonischer an den Verlauf "anschmiegt". So werden z. B. bei Touringdimmer auch spezielle Versionen angeboten, um diesem Umstand gerecht zu werden. Allerdings empfiehlt sich ein Sinusdimmer aufgrund nicht benötigter Nullspannungserkennung und einem Cos Phi von benahe 1 als erste Wahl beim Betrieb an einem Generator.


Funktionelle Bedienung
Zu einer funktionellen Bedienung gehört es auch, dass mit einem Blick der Zustand eines einzelnen Dimmerkreises ersichtlich wird. Dazu gehört eine Anzeige ob alle Phasen anliegen, Übertemperatur vorliegt, ein Ansteuersignal anliegt (am besten proportional zum Steuerwert) sowie natürlich die Aussteuerung proportional zur Helligkeit des Ausgangs. Auch eine Anzeige, die das Auslösen einer Schmelzsicherung anzeigt sowie das Anzeigen einer angeschlossenen Last erleichtern eine eventuelle Fehlersuche. Ältere Dimmer arbeiten hier oft noch mit Glimmlampen, jedoch fallen im hohen Alter Glimmlampen meist aus und werden dann auch aus Bequemlichkeit nicht ersetzt. LEDs haben diesbezüglich bei entsprechender Beschaltung eine wesentlich höhere Lebensdauer.


Übersichtsdisplay lässt schnell den Zustand der Dimmer erfassen (8)

Im Vermietbereich werden oftmals einzelne Dimmerblöcke für kleine Sonderaufgaben eingesetzt. Dazu sind Stand-Alone-Funktionen hilfreich, die mindestens eine Stimmung speichern können. Noch besser ist die Möglichkeit, mehrere Stimmungen mit Überblendzeiten abzurufen, ideal noch mit Delay-, Hold- und Loop-Funktion, die auch ein Lauflicht erlauben. So sind schon manche Schultheatertage nur über das Dimmermenü gefahren worden und bei Messen und Ausstellungen reichen diese Funktionen vollkommen aus.
Bei Festinstallationen dagegen werden für Wartungsarbeiten die Trennmöglichkeit einzelner Schänke, Gruppen oder Einzeldimmermodule gerne gesehen, so dass beim Austausch möglichst noch viele Dimmer weiterhin ihre Arbeit verrichten können. Auch dass bei herausgenommenem Modul keine apannungsführenden Teile im Handbereich liegen, ist ein Argument. Für die immer wiederkehrende BGV 4-Prüfung sind Testmodule, die statt der zweipoligen Dimmereinschübe eingesetzt werden und damit einen direkten Zugriff auf die Leitungen bieten, ohne dass der Schrank geöffnet und abverdrahtet werden muss, ein sehr zeitsparendes Hilfsmittel. Für den Einsatz von Leuchtstofflampen ist oftmals das Anbringen von Grundlasten notwendig. Hilfreich dazu sind separate Abgänge, um die Grundlast im Dimmerraum selbst einzusetzen.

Transformatoren und Dimmer

Eine weite Verbreitung von angesteuerten Lasten sind Halogen-Niedervoltlampen. Sie sind meist als Saallicht, Foyerbeleuchtung und zur weiteren architektonischen Lichtgestaltung in fast allen Veranstaltungshäusern zu finden. Für die Spannungsversorgung von ca. 12 V werden verschiedene Vorschaltgeräte (Transformatoren) eingesetzt die aus der 230-V-Netzspannung 12-V-Betriebsspannung bereitstellen.
Der konventionelle Transformator (Ringkern, U- oder M-Eisen-Lamellen Transformator) stellt eine induktive Last dar. Der Wechselstrom durchfließt eine Spule, die ein wechselndes Magnetfeld erzeugt. Durch die Magnetfeldleitung des Weicheisenmaterials wird in einer zweiten Spule die gewünschte Ausgangsspannung induziert. Beim Abschalten der Betriebsspannung einer induktiven Last wird eine Induktionsspannung erzeugt, deren Höhe sich aus der der Betriebsspannung zum Zeitpunkt des Abschaltens ableitet. Beim Phasenabschnittsverfahren kann diese Induktionsspannung im Extremfall den Dimmer zerstören. Deshalb kommen für induktive Lasten nur Phasenanschnittsdimmer zum Einsatz. Der Verbraucher wird dadurch immer im Spannungsnulldurchgang der Sinuswelle ausgeschaltet, und somit ist die Induktionsspannung im Idealfall Null.
Bei der Verwendung drahtgewickelter Transformatoren ist es besonders wichtig, einen hohen Grad an Stabilität und Symmetrie in den Phasenanschnittdimmern sicherzustellen, um das Entstehen von Gleichstromkomponenten in den Transformatorprimären mit den Risiken der Überhitzung und möglichem Sicherungsbruch zu vermeiden.

Elektronische Vorschaltgeräte und Dimmer
Neben den Vorteilen der Brummfreiheit, Softstartfunktionen, Kurzschlussfestigkeit und insbesondere wegen der leichteren Bauweise und kompakteren Bauformen, verdrängen elektronische Transformatoren die konventionellen Transformatoren beim Betrieb von Niedervoltstrahlern. Dieser elektronische Transformator arbeitet wie ein Schaltnetzteil. Dabei wird die Eingangsspannung in der Frequenz von 50 Hz auf ca. 4 kHz hochgetaktet, wobei dann für die Induktion in einem Sekundärkreis wesentlich kleinere Übertrager benötigt werden. (Der Trafo ist nur noch ein bruchteil so groß)
Für einen Dimmer bedeutet dies aber aufgrund der Schaltung des Schaltnetzteiles (elektronischer Transformator) erhöhten Stress, da der Eingang neben der ohmschen Komponente einen kapazitiven Anteil aufweist. Entladene Kondensatoren verursachen beim Einschalten sehr hohe Ladeströme. Der Einschaltmoment ist mit einem Kurzschluss gleichzusetzen, bei dem die Höhe des Stromes durch den Momentanwert der Betriebsspannung bestimmt wird. Setzt man nun einen Phasenanschnittsdimmer ein, so bedeutet dies im Moment der Zündung des Thyristors einen Kurzschluss, bis sich die Kapazität nach einer E-Funktion aufgeladen hat. Dies belastet den Dimmer kontinuierlich über Gebühr. So ist es vorteilhafter, einen Phasenabschnittsdimmer einzusetzen. Wird im Nulldurchgang die Spannung kontinuierlich gesteigert und dann abgeschaltet, so ist auch keine Induktionsspannung zu erwarten.
Da im Zuge von Instandhaltung oftmals konventionelle Transformatoren durch elektronische Transformatoren ersetzt werden, sind bei unveränderter Dimmeranlage durchaus Probleme aufgetreten. Darauf hat die Industrie reagiert und bietet nun auch elektronische "Halogen-Transformatoren" an, die für Phasenan- und -abschnitt geeignet sind.
Am Rande sei noch bemerkt, dass Adern, die parallel in Leitungen verlegt sind, in natürlicher Weise auch gegenüberliegende Platten darstellen und demnach auch eine Kapazität bilden. Bei großen Dimmeranlagen mit langen Leitungswegen, kann es insbesondere beim Einschalten vorkommen, dass der FI-Schutzzautomat auslöst, obwohl kein realer Leckstrom vorhanden ist. Der FI-Schutzautomat (eng. RCD, Residual Current Device) erkennt den Fehlerstrom durch Summierung aller abgehenden und wiederkehrenden Ströme innerhalb des angeschlossenen Stromkreises. Die Summe der Ströme muss gleich Null sein. Fließt ein Strom über irgendeinen anderen Weg ab, löst die entstehende Differenz den Fehlerstromautomat aus. Wodurch kommt nun die scheinbar zufällige Auslösung zustande? Dies liegt daran, dass mit einem Phasenanschnitt im Scheitelpunkt durch Strom zum Aufladen des kapazitiven Anteils der Leitungen ein hoher Ladestromimpuls entsteht, dessen Energie in der Kapazität gespeichert wird und nicht über den Nullleiter zurückfließt. Diese kleine Differenz kann zeitweise ausreichen, um einen FI auszulösen. Meist reicht das einfache Rückstellen des FI, um den Rest des Tages störungsfrei weiterzuarbeiten. Würde die Spannung langsam gemäß Sinusform ansteigen, wie bei einem Sinusdimmer, wären unmotivierte FI-Auslösungen nicht zu erwarten.

Leuchtstofflampen und Dimmer
Leuchtstofflampen stellen für Dimmer eine besondere Herausforderung dar. Grundsätzlich ist bei den Niederdruck-Entladungslampen festzustellen, wenn nicht genügend Spannung bzw. Strom fließt, dass dann die Ionenleitung abbricht. Deshalb gibt es zur Dimmung diverse Vorschaltgeräte für diverse Leuchtstofflampen. Alleine dies ist eine Thematik, die für sich ein Heft füllen könnte. Prinzipiell ist eine Leuchtstofflampe zusammen mit dem Vorschaltgerät zu betrachten. So arbeitet der Sinusdimmer mit Leuchtstofflampen die einen Zündstreifen und entsprechenden Vorschaltgerät aufweisen einwandfrei, kann aber Leuchtstofflampen mit einem VIP 90 Vorschaltgerät nicht dimmen.
Verschiedene Ursachen können unstabiles Licht und Flackern in Leuchtstofflampen hervorrufen:

  • Bei Einsatz eines VIP 90 ist die Versorgungsspannung auf einer anderen Phase als die Steuerspannung des Dimmers
  • Ein R-C-Glied über den Leistungsthyristor des Dimmers
  • Fehlende Kathodenheizspannung wegen defekter Kathodenfilamente (das Kathodenglühen sollte in einem dunklen Raum sichtbar sein).
  • Defekter Kontakt in einer Lampenfassung
  • Zu niedrige Umgebungstemperatur
  • Fehlende oder zu kleine ohmsche Grundlast über dem Dimmerausgang

Bei Leuchtstofflampen ist im unteren Regelbereich bereits die Bit-weise Auflösung des DMX-512-Wertebereichs deutlich ersichtlich. Deshalb ist es bei Dimmersystemen, die mit Leuchtstofflampen arbeiten müssen vorteilhaft, wenn eine Dimmung über 16 Bit interpoliert werden kann (siehe dazu auch Ansteuerung). So ist es nicht verwunderlich, wenn nach Modernisierung einer Dimmeranlage man sehr unzufrieden war mit dem Dimmverhalten von Leuchtstoffröhren. Das lag meist darin begründet, dass die alte Dimmeranlage mit einem Stellpult analog oder mit Analogmultiplex gearbeitet hat. So waren unendlich viele Zwischenstufen angesteuert worden. Bei der Modernisierung auf 8 Bit Wertevorrat des DMX-Protokolls ist bei Leuchtstoffröhren im untersten Regelbereich jeder Bitsprung dann deutlich zu sehen.
Als besondere Regelungen für Leuchtstofflampen seien noch die Regelung durch Frequenzänderung oder eine Phasenanschnittsteuerung mit überlagerten Spannungspulsen bzw. hochfrequenter Hochspannung erwähnt. Diese Regelmöglichkeiten sind insbesondere für Leuchtstofflampen entwickelt worden und finden als regelbare Vorschaltgeräte für Leuchtstofflampen Verwendung und sind nicht über Dimmer zu betreiben.


 
Quellennachweis:

1) Physik für Ingenieure / Springer Verlag
2) Tabellenbuch Elektrotechnik / Friedrich
3) Elektronik iV A / Pflaum Verlag
4) Entertainment Technology / Genlyte Thomas Company, L.L.C.
5) IES BV / ETC
6) MA Lighting Technology
7) Strand Lighting
8) Lightpower
9) Betriebsgeräte und Schaltungen für elektrische Lampen /C.H. Strurm /E. Klein
10) VDE 0100 und die Praxis / Gerhard Kiefer
11) Norbert Ackermann
12) ADB

 


Weitere Grundlagenartikel und intressante Produkttests finden Sie in den Fachzeitschriften der Production Partner.

Auf der Web Site der DTHG werden viele Themen der gesammten Veranstaltungstechnik hoch kompetent erörtert. Ein Besuch lohnt sich.

Vielen Dank für Ihr Intresse
Copyright Herbert Bernstädt, erstemals im Web: 26.07.2007 zuletzt geändert am 13.07.2008

Ist auf der linken Seite keine Navigationsleiste zu erkennen, können Sie mit
Startseite die Ausgangsseite und damit weitere Themen dieser Page erreichen.

 

1, 5, 8, 25, 70, 113, 116, 217, 512, 711, 801, 19250, 56925, 56926, 56927, 56930, 16 Bit, 192.168.x.x, 256, 2-D, 3D, 2D, 3-D, A, Adresse, AK, AK3, AK4, AK5, AK6, Amplitude, Anforderungsklasse, Anforderungsklassen, Anlagen, Anschlagsmittel, Antriebe, ASM, Asynchron, Aufhängungen, Ausführung, AutoCAD, Band, Bandzug, Bandzug, Bandzüge, Batalpha, Bedienphilosophie, Beleuchtung, Beleuchtungs-, Beleuchtungsanlagen, Bernstädt, Betriebssystem, BGV, BGV C1, Bit, Bremsen, Bruchkraft, Bühne, Bus, Bytes, C, C1, CAD, CAN, Cannon, Class, CM, CUE, Cues, Datenkompression, Datenrate, Dehnungsmeßstreifen, Dez, Diagnose, Dimmer, Dimmersteuerung, DIN, diversitär, DMX, doppelte, Dos, Ebene, echtzeitfähig, EN 954, Equipment, Ergonomie, Ethernet, Fangseile, Farb, Fine, Fokussierung, fotorealistisch, Funktionen, Gefahrenpotential, geführte, Generator, Getriebe, Gleichlauftolleranz, Gobo, GrandMA, Gruppe, Gruppenfahrt, GUV, Hebezeug, High, Host, Impuls, integartion, Inter, IP, Kabellänge, Kamera, Kategorie, kBaud, Kennlinien, Kette, Kettensack, Kettenzug, Kettenzüge, Kontaktkleben, KTZ, Lampen, LAN, Last, Lasterfassung, Lastfall, Leitungsabschluß, Level, Licht, Light, Load, Low, MA, Matrix, Meßtechnik, Modell, Modus, MSD, MSR, Neutrix, Norm, Normen, Normentwurf, Not-Aus, Notaus, Pan, Ping, pläne, Presets, Produktionsstätten, Profi, Programm, Punktzug, Punktzüge, rechnergestützt, Redundant, Regeln, Relais, Rendern, Risiko, Routing, safty, Saftys, Schaltabbrand, Schneckengetriebe, Schütz, Schützsteuerung, Selbsthemmend, Selbsthemmende, Selbsthemmendes, Show, Showablauf, Showdesigner, sicherheitsrelevant, Sicherungsseile, SIL, Sozialgesetzbuch, SP, SP 25.1/2-3, Star, Steuerung, Störfalltolleranz, Streckenlast, Switchcraft, Synchron, System, Systeme, TCP, TCP/IP, technik, Tilt, Totmannschaltung, Trigger, Überblendungen, Übertragung, überwachen, Unfall, Unfallversicherer, Universe, USIIT, UVV, VBG 70, VBG, VDE, Veranstaltungsstätten, Verlinde, Versicherer, Video, Weggeber, Wert, Whysiwhig, Windows, XLR, zwangsgeführt, Zykluszeit, Herbert